ІІІ. Генерація вуглецевих радикалів
- Page ID
- 27255
Реакції перенесення атомів
Радикали, орієнтовані на вуглець, часто генеруються реакціями перенесення атомів. Перенесення зазвичай відбувається атомом галогену, але також може відбуватися перенесення атома водню. Абсолютні константи швидкості отримання вуглецецентрованих радикалів реакцією галогенізованих сполук з Bu 3 Sn· наведені в таблиці 1. Таблиця 2 містить аналогічний набір констант швидкості, який включає ті для реакцій перенесення атомів за участю (Me 3 Si) 3 Si· і Et 3 Si·. (Таблиці 1 і 2 також містять деякі реакції групового перенесення.) Щоб виробляти радикал вибірково шляхом перенесення атомів, один атом в субстраті повинен бути більш реактивним, ніж будь-який інший атом або група. Типова пара етапів розмноження, які вибірково утворюють вуглеводний радикал, показана на схемі 1, де атом йоду переноситься з вуглеводу в олов'яний радикал. 8



Вивчення констант швидкості в таблицях 1 і 2 дає зрозуміти, чому йодиди та броміди так часто використовуються в генерації радикалів, орієнтованих на вуглець. Реакції сполук, що містять ці атоми, настільки швидкі, що рідко виникає конкуренція в радикальному утворенні від заміни інших груп або атомів, зазвичай присутніх у реагуючій молекулі. Хлориди істотно менш реактивні, ніж йодиди та броміди; отже, абстрагування атомів хлору є менш ефективним способом вибіркового утворення вуглецевих радикалів. (Фториди ефективно не реагують.) Ще одним фактором, що сприяє використанню йодидів і бромідів, є синтетичний. Сульфонатні ефіри, які легко готуються з вуглеводів, легко перетворюються у відповідні йодиди та броміди за допомогою реакції нуклеофільного витіснення.
Оскільки константи швидкості, наведені в таблицях 1 і 2, призначені для реакцій органічних сполук, які структурно простіше вуглеводів, при використанні цих констант швидкості для вуглеводних реакцій припущення полягає в тому, що один і той же реактивний замінник матиме аналогічну константу швидкості для реакції в більш складне з'єднання. Хоча таке припущення є розумним, часто необхідним і зазвичай дійсним, екстраполяція констант швидкості від простих сполук до вуглеводів потрібно ставитися з обережністю, оскільки деякі структурні особливості, що впливають на реакційну здатність вуглеводів і вуглеводних радикалів, не можуть бути адекватно враховується в більш простих системах. (Така ситуація за участю піранос-1-іл радикалів обговорювалася в розділах VI.B. та VI.C. глави 7.)
B. Реакції групового перенесення
Груповий перенесення може бути більш складним процесом, ніж перенесення атомів, оскільки перенесення атомів складається з однієї елементарної реакції, але груповий перенесення часто вимагає двох таких реакцій. Оскільки реакції переносу галоген-атома, показані в таблицях 1 і 2, є незворотними, для кожної з цих реакцій константа швидкості перенесення галоген-атом така ж, як і при вуглецецентрированном радикальному утворенні. Ситуація інша для реакцій групового перенесення, оскільки перший крок у груповому перенесенні часто є оборотним. У такій ситуації абсолютна константа швидкості реакції субстрату з Bu 3 Sn· (табл. 1) або (Me 3 Si) 3 Si· (табл. 2) більша за константу швидкості для вуглецецентрованого радикального утворення.
Вплив на радикальну реактивність оборотної реакції при груповому перенесенні можна побачити, порівнюючи три пари конкуруючих реакцій. 2 Загальна реакція в кожному з цих трьох знаходиться між 1-бромоктаном і (Me 3 Si) 3 Si· (Схема 2). Оскільки ця реакція дає октиловий радикал R· в одному, незворотному етапі, константа швидкості реакції броміду з (Me 3 Si) 3 Si· така ж, як і константа швидкості утворення R·. Крім того, оскільки R· потім абстрагує атом водню з (Me 3 Si) 3 SiH, кількість утвореного октану безпосередньо пов'язане з кількістю вироблених октильних радикалів.

Перший експеримент порівняння включає реакцію молярно-еквівалентних кількостей 1-бромоктану, циклогексилізонітрилу та трису (триметилсилілу) силану. 2 Запропонований механізм реакції між ізонітрилом і (Me 3 Si) 3 Si· наведено в схемі 3. Якщо додавання (Me 3 Si) 3 Si· до ізонітрилу є незворотним, то співвідношення циклогексану до октану в суміші продукту було б таким же, як і співвідношення констант швидкості, наведених таблицею 2 для реакцій ізонітрилу і броміду відповідно. Інформація в схемі 3 показує, що ці співвідношення схожі, але не однакові. Один висновок, який можна зробити з цієї інформації, полягає в тому, що додавання (Me 3 Si) 3 Si· до циклогексилізонітрилу є оборотним. Всякий раз, коли відбувається зворотна реакція, вона ефективно знижує швидкість утворення циклогексану і призводить до того, що відношення циклогексану до октану менше, ніж очікувалося від співвідношення констант швидкості k NC і k Br (Схема 3).

Додавання (Me 3 Si) 3 Si· до циклогексилфенілселеніду (схема 4) та циклогексилксантату (схема 5) представляє картину з більш драматичними відмінностями. 2 Конкурентні експерименти з 1-бромооктаном показують, що константи швидкості для групового перенесення з селеніду і ксантогенату істотно менше, ніж константи швидкості, наведені в таблиці 2. Цю знижену реакційну здатність можна пояснити, припускаючи, що додавання (Me 3 Si) 3 Si· до цих сполук є часто зворотним процесом.


C. Реакції фрагментації
Основна структура вуглеводів робить можливим утворення як вуглецецентрованих, так і киснево-центрованих (алкокси) радикалів. Реакції, що характеризують радикали, орієнтовані на кисень, - це абстрагування атомів водню та радикальна фрагментація. Коли киснево-центровані радикальні фрагменти, результат зазвичай є радикалом, зосередженим на атомі вуглецю; таким чином, фрагменти алкоксирадикала 4, щоб дати кільцево-відкритий, центрований на вуглець радикал 5 (схема 6). 9 Відсутність ефективного донора водню в реакційній суміші дозволяє фрагментації відбуватися без конкуренції з воднево-атомною абстракцією.

У реакції, показаній на схемі 7, орієнтований на кисень радикал 6 та центрований на вуглець радикал 7 існують у псевдорівновазі. Обидва радикали абстрагують атоми водню від Bu 3 SnH. 10 Через відмінності констант швидкості відкриття кільця (k fra = 1,1 х 10 7 с —1 М —1 при 80 о С) і замикання кільця (k cyc = 1,0 х 10 6 с —1 М —1 при 80 о С), кільцевий радикал 7 домінує над псевдорівновагою, але тому, що константа швидкості абстрагування атома водню на 6 (k H = 4,7 х 10 8 с —1 М —1 при 80 o С) набагато більше, ніж для атома водню абстрагування на 7 (k H = 6,4 x 10 6 с —1 M —1 при 80 o C), основний продукт реакції виникає внаслідок абстрагування атомом водню киснево-центрованим радикалом 6. Пов'язана реакція, яка також контролюється великою константою швидкості для абстрагування атома водню радикалом, орієнтованим на кисень, зображена на схемі 8, де абстракція алкоксирадикалом 9 відповідає за єдиний сформований продукт. 11 Немає доказів конкуруючої фрагментації 9, що призводить до відкриття кільця; зокрема, не утворюється продукт, що розкривається кільцем, і на атомі вуглецю, що містить гідроксил, не відбувається епімеризації. (Епімеризація очікувалася б, якщо відбудеться відкриття кільця, яке супроводжувалося швидким закриттям кільця.)


D. Реакції перенесення електронів
Дисоціативний перенесення електронів відбувається, коли з'єднання, що містить реактивний атом або групу, приймає електрон і піддається фрагментації (Схема 9). Захоплення електронів може бути надзвичайно швидким, якщо електрон вільний у розчині; таким чином, константа швидкості захоплення сольвуваного електрона нуклеозидом 10 становить 1,6 х 10 10 М —1 с —1 при 22 о С. 12,13

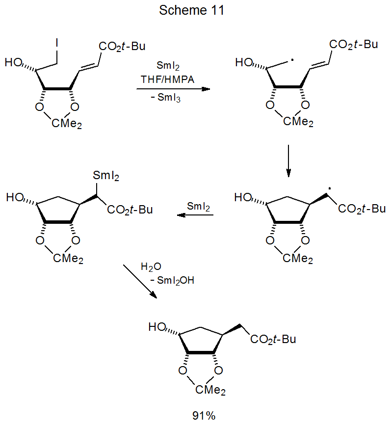
Радикальне утворення шляхом перенесення електронів також може відбуватися шляхом реакції між комплексами перехідних металів, такими як (NH 4) 2 Ce (NO 3) 6, Mn (OaC) 3, Smi 2 та Cp 2 TiCl та вуглеводними похідними, що включають йодиди, бро міди та сульфони; наприклад, комплекси, що включають йодид самарію (II), часто є донорами електронів у реакціях вуглеводів (схема 10). Загальною реакцією для Smi 2 є другий перенесення електронів на спочатку сформований радикал R· для отримання органосамарієвого з'єднання (схема 10). Цей другий перенесення електронів досить швидкий, що може обмежити здатність R · проходити радикальні трансформаційні реакції, такі як циклізація та групова міграція.

Реакції за участю SmI 2 зазвичай проводяться в присутності гексаметилфосфораміду (HMPA), сполуки, яка комплексується з SmI 2 і підвищує його здатність здавати електрон. Більша електронно-донорська здатність не тільки збільшує константу швидкості утворення радикала R·, але й збільшує швидкість, з якою цей радикал реагує з другою молекулою Smi 2. Дані в таблиці 3 показують, що коли 5-гексеніловий радикал реагує з SmI 2, константи швидкості реакції збільшуються від 5 х 10 5 М —1 до 6,8 х 10 6 М —1 с —1 при 25 o С як кількість доданого HMPA. збільшується. 14 Величина цих констант швидкості така, що якщо радикал повинен робити що-небудь, крім простої комбінації з молекулою SmI 2, ця «інша реакція» повинна бути швидкою. Прикладом реакції радикала, яка відбувається швидше, ніж комбінація з Smi 2, є циклізація, показана на схемі 11. 15,16 (Глава 20 у томі II містить додаткову інформацію та обговорення реакцій похідних вуглеводів з Smi 2.)

