13,4: Конденсація
- Page ID
- 20859
Конденсація Клайсена - огляд
Нагадаємо загальний механізм нуклеофільного ацилозаміщення, який ми вивчили в главі 10:

Основні моменти, які слід нагадати, полягають у тому, що нуклеофіл атакує похідне карбонової кислоти, що призводить до чотиригранного проміжного продукту, який потім руйнується, щоб вигнати залишаючу групу (X). Весь процес призводить до утворення різного похідного карбонової кислоти.
Типова реакція заміщення нуклеофільних ацилів може мати спиртовий нуклеофіл, атакуючий тіостер, відганяючи тіол і виробляючи ефір.

Якщо, однак, атакуючим нуклеофілом в реакції ацильного заміщення є a-вуглець енолату, утворюється новий вуглецево-вуглецевий зв'язок. Цей тип реакції називається конденсацією Клейзена, на честь німецького хіміка Людвіга Клайзена (1851-1930).
Реакція конденсації Клейзена

Механізм:

На етапі 1\(\alpha\) вуглець одного тіоефірного субстрату депротонується з утворенням енолату, який потім продовжує атакувати другий тіоефірний субстрат (крок 2). Потім отриманий тетраедричний проміжний проміжний матеріал руйнується (крок 3), виганяючи тіол залишаючи групу і залишаючи нас з продуктом\(\beta\) -кето-тіоефіру (тіоефір з кетоновою групою двох вуглеців).
Щоб повторити: Реакція конденсації Клайсена - це просто реакція нуклеофільної ацильної заміщення (глава 11) з нуклеофілом енолатного вуглецю.
Приклади біохімічної конденсації Claisen
Конденсація Клайсена між двома\(CoA\) молекулами ацетилу (EC 2.3.1.9) служить першим етапом біосинтезу холестерину та інших ізопреноїдних сполук у людини (див. Розділ 1.3 для нагадування про те, що таке ізопреноїди). По-перше, транстіоестеразна реакція переносить ацетильну групу першого\(CoA\) ацетилу на бічний ланцюг цистеїну в активній ділянці ферменту (етапи а, б). (Ця попередня подія характерна для багатьох каталізованих ферментами реакцій конденсації Клайсена і служить для ковалентного зв'язку електрофільного субстрату з активним місцем ферменту).
У «основній» частині механізму конденсації Клейзена\(\alpha\) -вуглець другого ацетилу\(CoA\) депротонується (крок 1), утворюючи нуклеофільний енолат.

Енолатний вуглець атакує електрофільний тіоефірний вуглець, утворюючи чотиригранний проміжний продукт (крок 2), який руйнується, щоб вигнати цистеїновий тіол (крок 3).
Намалюйте вигнуті стрілки для кроку формування вуглецево-вуглецевого зв'язку в механізмі для цієї реакції конденсації між двома жирними ацил-тіоефірними субстратами. R 1 і R 2 можуть бути вуглеводневими ланцюгами різної довжини. (Дж. біол. Хім. 2011, 286, 10930.)

В альтернативному механізмі конденсації Клейзена в біології часто ініціюються декарбоксилювання в\(\alpha\) -вуглецю тіоефіру, а не депротонації:
Декарбоксиляція/Конденсація Claisen:

Механізм:

Тут слід зазначити, що нуклеофільний енолат (червоним кольором) утворюється на першому етапі шляхом декарбоксилювання, а не депротонації\(\alpha\) вуглецю. Крім цього, реакція виглядає так само, як реакції конденсації Клейзена, які ми бачили раніше.
Тепер ми можемо нарешті зрозуміти крок подовження ланцюга жирних кислот, про який ми чули у вступі до глави в контексті історії нафти Лоренцо, яка являє собою конденсацію декарбоксиляції/клайсена між малоніл-АСР (донором двовуглецевої одиниці) та зростаючою молекулою жирного ацилу CoA. Зверніть увагу, що знову ж таки, електрофільна ацильна група спочатку переноситься на активний сайт цистеїну, який потім служить вихідною групою в процесі формування вуглецево-вуглецевих зв'язків.
Реакція подовження ланцюга (конденсація Клайсена) в біосинтезі жирних кислот
(крок 1 в циклі синтезу жирних кислот)

Механізм:

Куркумін - це сполука, яка в першу чергу відповідає за характерний жовтий колір куркуми, спеції, широко використовуваної в індійській кухні. На малюнку нижче показаний завершальний етап біосинтезу куркуміну. Намалюйте механізм для цього кроку.

Ретро-Клейзен декольте
Так само, як механізм альдола, реакції конденсації Клейзена часто протікають у «ретро», напрямку руйнування зв'язку в метаболічних шляхах.
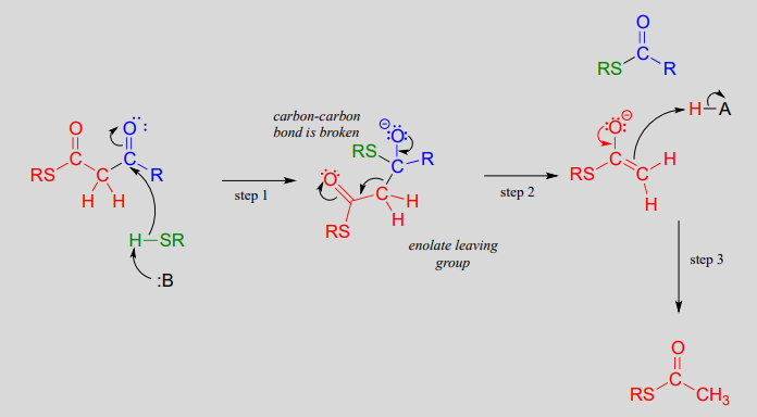
Типова реакція розщеплення Ретро-Клейзена
(Тіол нуклеофіл)

Механізм:

У типовій ретро-клайсенової реакції тіол (або інший нуклеофіл, такий як вода) атакує карбонільну групу субстрату\(\beta\) -тіоефіру (крок 1), а потім отриманий чотиригранний проміжний проміжний матеріал руйнується, щоб вигнати групу виходу енолату (крок 2) - це ключовий крок руйнування вуглецево-вуглецевого зв'язку. Залишаючий енолат репротонує (крок 3), щоб повернути нас туди, де ми почали, з двома окремими тіоефірами. Слід озирнутися назад на загальний механізм прямого конденсації Клейзена і переконати себе, що проілюстрований вище механізм Ретро-Клейзен - це покроковий зворотний процес.
Чи є крок декарбоксилювання/Claisen конденсації також, ймовірно, буде метаболічно релевантним у напрямку «ретро»? Поясніть.
Коли ваше тіло «спалює» жир, щоб отримати енергію, це реакція розщеплення ретро-клайсена (EC 2.3.1.16), яка відповідає за розрив вуглецево-вуглецевих зв'язків на етапі IV шляху деградації жирних кислот. Цистеїн-тіол на ферменті служить вхідним нуклеофілом (крок 1 у механізмі нижче), відганяючи групу виходу енолату, коли чотиригранний проміжний колапс (крок 2). Потім енолат протонується, щоб стати ацетилом CoA (крок 3), який переходить до циклу лимонної кислоти (Кребса). Тим часом відбувається реакція транстіоетерифікації (етапи a і b), щоб звільнити залишок цистеїну ферменту, регенеруючи жирну молекулу ацилу CoA, яка на два вуглеці коротша за початковий субстрат.
Реакція ретро-клайсену (етап IV) при деградації жирних кислот

Механізм:
На стадії деградації ізолейцину амінокислоти проміжна сполука 2-метил-3-кето-бутирилу \(CoA\)піддається ретро-клайсену розщеплення. Передбачте продукти.

Багато біохімічних етапів ретро-клайсена є гідролітичними, що означає, що вода, а не тіол, як у прикладі вище, є вхідним нуклеофілом, який розщеплює вуглецево-вуглецевий зв'язок. Один із прикладів (EC 3.7.1.2) відбувається в шляху деградації тирозину та фенілаланіну:

- Запропонуйте ймовірний механізм для показаної реакції.
- Субстрат b-дикетону в реакції вище може гіпотетично пройти іншу реакцію розщеплення ретро-клайсена, в якій нуклеофільна вода атакує іншу групу кетонів. Передбачте продукти цієї гіпотетичної реакції.
