4.3: Виведення кривої попиту
- Last updated
- Save as PDF
- Page ID
- 82017
Ми знаємо, як знайти початкове оптимальне рішення в теорії споживчої поведінки і досліджено порівняльні статичні властивості зміни доходів.
Ми добре готові приступити до найважливішого порівняльного статичного аналізу в теорії поведінки споживачів: виведення кривої попиту.
Чисельний порівняльний статичний аналіз зміни ціни
КРОК Відкрийте книгу Excel DemandCurves.xls і прочитайте вступний лист, а потім перейдіть до аркуша OptimalChoice.
Проблема налаштована, але споживач не оптимізує, оскільки MRS не дорівнює співвідношенню цін, і споживач може перейти до більш високих кривих байдужості, подорожуючи вгору обмеження.
КРОК Запустіть Solver, щоб знайти початкове рішення:\(x_1 \mbox{*} = 25\) і\(x_2 \mbox{*} = 16 \frac{2}{3}\).
Далі ми досліджуємо, як змінюється це початкове оптимальне рішення, оскільки ціна хорошого 1 змінюється, незалежно від інших. Цей порівняльний статичний аналіз дасть криву попиту.
Перш ніж ми насправді це зробимо, чи можете ви передбачити, що станеться, коли ми збільшимо ціну хорошого 1? Вірте чи ні, якщо ви спробуєте розібратися спочатку, перш ніж насправді побачити це, ви дізнаєтеся більше. Знайдіть хвилинку, щоб подумати: що буде з графіком на вашому екрані, коли ми збільшимо ціну\(x_1\)?
Давайте подивимося, як ви це зробили.
КРОК Шок: Змініть комірку B16 на 3.
На малюнку 4.9 показано, як повинен виглядати ваш екран. При більш\(p_1\) високому бюджетне обмеження обертається, обертаючись на\(x_2\) перехопленні. Споживач тепер має менше можливостей споживання і потребує повторної оптимізації, щоб знайти нове оптимальне рішення.
Малюнок 4.9: Нова бюджетна лінія при\(p_1\) підвищенні.КРОК Новий: Запустіть Solver, щоб знайти нове оптимальне рішення.
Ми завершили початковий, шоковий і новийостанній крок - порівняння. На малюнку 4.10 показана таблиця, яка відображає результати порівняльної статики.
Малюнок 4.10: Порівняльна статика результатів збільшення\(p_1\).У якісному вираженні ми бачимо, що\(x_1 \mbox{*}\) падає з\(p_1\) підйомами, але\(x_2 \mbox{*}\) залишається незмінним.
Кількісно ми можемо обчислити власну реакцію одиниць в хорошому 1 як новий мінус початковий\(x_1 \mbox{*}\), який\(16 \frac{2}{3} - 25 = - 8 \frac{1}{3}\) ділиться на 1 (від\(3-2\)). Це значення, яке відображається в таблиці. Відповідь власних одиниць\(x_2\) дорівнює нулю, оскільки вона не змінилася.
Чуйність в процентному співвідношенні - це цінова еластичність попиту. Нам потрібно обчислити процентне зміна\(x_1 \mbox{*}\) ділиться на відсоток зміни в\(p_1\). Чисельник є\(- 33\%\) тому, що\(\frac{16 \frac{2}{3} - 25}{25} = - \frac{1}{3}\). Знаменник -\(\frac{3 - 2}{2} = 0.5\) або 50%. Так, зростання ціни на 50%, з 3\(p_1 = 2\) до 3, спричинило зменшення кількості затребуваних на 33%. Таким чином, цінова еластичність попиту є\(\frac{- 0.33}{0.5}= - \frac{2}{3}\) або приблизно\(- 0.67\). Це число відображається в таблиці на малюнку 4.10.
Такий же розрахунок можна виконати і на\(x_2\). Оскільки ми розглядаємо вплив на хороший 2 від шоку до ціни хорошого 1, ми називаємо це перехресним ціновим аналізом. Термін хрест використовується в економіці, коли ми вивчаємо вплив i на j; власний ефект, наприклад, буде\(p_1\) на\(x_1\).
Ми швидко розуміємо, що перехресна цінова еластичність,\(p_1\) еластичність\(x_2\), дорівнює нулю, оскільки чисельник дорівнює нулю. Це абсолютно нееластично або зовсім не реагує.
Порівняльна статика за допомогою числових методів простіше за допомогою майстра порівняльної статики надбудови. Якщо його не встановлено, поверніться до початку цього розділу, щоб завантажити надбудову CSwiz.
КРОК Проаналізуйте ефект зміни,\(p_1\) запустивши надбудову CSwiz та змінивши ціну хорошого 1 на 1 долар з кроком (для п'яти ударів).
Ви можете побачити дещо інший порівняльний статичний аналіз на аркуші CS1. Замість зміни ціни на один доларовий крок, аркуш CS1 виконувався з ударним розміром 0,1.
КРОК Використовуйте результати порівняльної статики, щоб зробити криву попиту, графік\(x_1 \mbox{*} = f(p_1)\). Для цього виділіть\(p_1\) дані в стовпці A, потім утримуйте клавішу ctrl (і продовжуйте утримувати її), при цьому вибираючи\(x_1\) дані в стовпці C. З виділеними осередками в стовпцях A і C виберіть тип діаграми Scatter. Заголовок графіка і позначте осі.
Інший спосіб відображення результатів порівняльної статики - це крива споживання цін (або пропозиції), як показано на панелі А на малюнку 4.11 для корисної функції, яка не є Кобб-Дугласом і не призначена для відображення зростаючого аналізу цін, який ви щойно завершили. Натомість показано зниження ціни.
Малюнок 4.11: Три способи показати наслідки\(p_1\) шоку.Багато чого відбувається на малюнку 4.11. Графік ліворуч (панель А) показує зниження ціни, що змінює бюджетне обмеження. Він використовує цифри для позначення початкових і нових оптимальних рішень.
Панелі B і C показують попит, але придивіться, осі були перевернуті. Замість того, щоб графікувати\(x_1\) як функцію\(p_1\), екзогенна змінна (\(p_1\)) знаходиться на осі y в панелі B. Це зворотна, але поширена презентація в економіці. Коріння цього дивного способу подання результатів можна простежити ще в історії економіки до Альфреда Маршалла в 1890 році.
Сучасні економісти називають графік на панелі B малюнка 4.11 зворотною кривою попиту, оскільки він побудований як\(P = f(Q)\). Крива попиту, математично правильна версія, полягає в\(Q = f(P)\) тому, що ми\(y = f(x)\) будуємо з y як залежну змінну, яка визначається x.
У вступній економіці використовується зворотна крива попиту. Професор просто малює вниз похилу лінію або криву і вимовляє, що очевидно, що в міру зростання ціни кількість вимагається падає (ми незабаром побачимо, що це не гарантовано). У міру підвищення рівня витонченості, особливо якщо ми робимо економетрику і намагаємося оцінити криву попиту, економісти використовують математично правильну криву попиту. Економісти звикли до обох способів пред'явлення попиту. Спочатку це заплутано, але ви можете отримати повісити його досить швидко.
КРОК. Ознайомтеся з інформацією в аркуші CS1. Він пояснює, як функція ROUND була використана для створення кривої споживання цін на основі результатів порівняльної статики.
Зверніть увагу, що крива споживання цін для змін\(p_1\) у книзі Excel горизонтальна. Це властивість утиліти Cobb-Douglas функції і не особливо реалістично. Карта байдужості на малюнку 4.11 не базується на корисній функції Кобба-Дугласа, оскільки крива споживання ціни не є горизонтальною.
Ще один корисний навик Excel для освоєння, який особливо актуальний зараз, включає управління осями x та y. За замовчуванням Excel є те, що крайній лівий стовпець вибраних даних йде по осі x. Якщо ми хочемо зробити криву попиту з даними в аркуші CS1, це зручно. Вибираємо дані в стовпці A (\(p_1\)), затискаємо клавішу ctrl і вибираємо дані в стовпці C (\(x_1\)). Коли ви робите діаграму Scatter, Excel ставить ціну на вісь x і кількість на осі y.
Але що робити, якщо ми хочемо зробити зворотну криву попиту, з\(p_1\) на осі у? Один простий спосіб зробити це - безпосередньо редагувати формулу SERIES на діаграмі.
КРОК Відвідайте vimeo.com/econexcel/using-series-formula, щоб переглянути швидке 5-хвилинне відео про те, як працює формула СЕРІЇ.
Після перегляду відео спробуйте його на діаграмі кривої попиту. Чи можете ви перевернути осі, безпосередньо редагуючи формулу SERIES? Клацніть на кривій попиту, а потім перемкніть стовпці A та C у аргументах x та y у формулі SERIES. Щоб побачити приклад цього, натисніть на серію в діаграмі в аркуші CS1.
Аналітичний порівняльний статичний аналіз зміни ціни
Ми користуємося нагодою, щоб розширити нашу попередню аналітичну роботу. Ми могли б просто залишити\(p_1\) як лист, оскільки ми хочемо вивести криву попиту, але ми будемо більш агресивними і залишимо всі екзогенні змінні як літери. Це дасть нам найбільш загальну відповідь, яку ми можемо отримати.
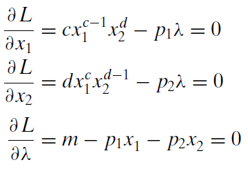
Переписуємо обмеження і формуємо лагрангейський.

Хоча це здається більш грізним, ніж коли замість букв використовуються цифри, ми можемо застосувати звичайні стратегії для взяття похідних та вирішення умов першого порядку, щоб знайти оптимальне рішення.
Беремо похідні і ставимо їх рівними нулю.

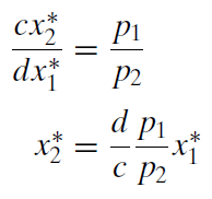
Для вирішення оптимальних значень\(x_1\) і\(x_2\), переміщаємо лямбда-терміни в праву сторону і ділимо перше рівняння на друге. Це позбавляється від лямбда і дає знайоме MRS =\(\frac{p_1}{p_2}\) умова, яке потім може бути вирішено для оптимального\(x_2\) як функція оптимального\(x_1\).

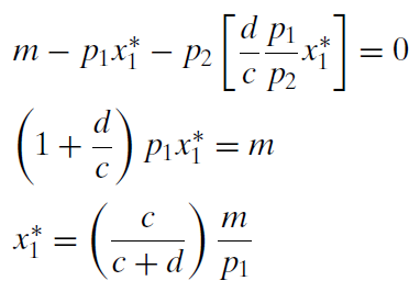
Підставляємо цей вираз в третю умову першого порядку (бюджетне обмеження) і вирішуємо для оптимального\(x_1\).

Цей вираз містить криву попиту,\(x_1\) оскільки вона показує кількість, необхідну при заданому\(p_1\). Він також містить криву Енгеля, оскільки вона показує, як\(x_1\) змінюється залежно від доходу. Він також показує, як\(x_1\) рухається, коли c або d, змінюються смаки і переваги споживача, хоча, такий графік безіменний.
Крім того, цей вираз можна оцінити для будь-якої комбінації значень екзогенних змінних. Наприклад, припустимо\(c = d = 1, p_1 = 2\), і\(m = 100\). Тоді легко видно, що оптимально\(x_1\) = 25. Насправді, ви можете легко побачити, що скорочений вираз форми для оптимального\(x_1\) узгоджується з числовим підходом, використовуючи Майстер порівняльної статики для перерахунку оптимального рішення при заданих значеннях\(p_1\).
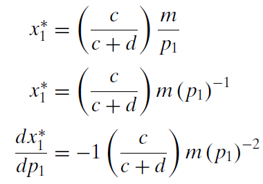
Ми можемо використовувати наш скорочений вираз форми, щоб обчислити власну реакцію одиниць\(p_1\) на шок, взявши похідну щодо\(p_1\).

Це грізне на вигляд вираз є миттєвою швидкістю зміни кривої попиту в певній точці. Оскільки\(x_1 \mbox{*}\) є нелінійною функцією\(p_1\), її похідна по відношенню до\(p_1\) містить\(p_1\). Той факт, що крива попиту не є лінією, пояснює, чому ми отримуємо різні результати, коли обчислюємо чуйність\(\Delta\) у порівнянні з d.
КРОК. Уважно прочитайте аркуш CS1. Ваша основна мета полягає\(\Delta\) в тому, щоб зрозуміти взаємозв'язок між клітинами F14 і G14 проти похідної в клітині I13 і J13.
Ключова ідея така: як\(\Delta\) стає менше, вона наближається до d Таким чином, раніше ми обчислювали цінову еластичність попиту від 3\(p_1=2\) до 3 і отримали\(-0.67\). Але CS1 лист показує еластичність\(-0.95\) (в G14), коли ми переходимо від\(p_1=2\) до 2.1, і коли ми використовуємо похідну формулу, яка заснована на нескінченно малій зміні\(p_1\), ми отримуємо еластичність\(-1\).
Зверніть увагу, що, на відміну від кривої попиту, крива Енгеля\(x_1 \mbox{*} = f(m)\) є лінією для корисної функції Кобба-Дугласа.\(x_1 \mbox{*} = f(p_1)\) Ми говоримо: «х одна зірка нелінійна в р один» і «х одна зірка лінійна в м». Тому що крива Енгеля є лінією,\(\Delta m\) а похідна по відношенню до m дає однакові результати. Розмір зміни в m не має значення, якщо співвідношення лінійне.
Еластичність ціни за одиницю є властивістю корисної функції Кобба-Дугласа. Ми можемо використовувати скорочений вираз форми для\(x_1 \mbox{*}\) того, щоб показати, що ми завжди отримуємо\(-1\) цінову еластичність.

Так Кобба-Дуглас виробляє три постійні пружності:
-
Еластичність одиничного доходу
-
Еластичність власної ціни
-
Нульова еластичність перехресної ціни
Жодне з них не є особливо реалістичним. Кобб-Дуглас поширений тим, що з ним легко працювати, а не тому, що він виробляє розумну еластичність.
Точка від кривої попиту?
На відміну від вступного курсу економіки, де криві попиту з'являються поза синім кольором як похилі лінії або криві вниз, розуміння того, звідки походять криві попиту і що вони насправді представляють, є основними цілями для нас.
Поки що у нас є механічне розуміння виведення попиту. Так, це правда, що зміна\(p_1\), незалежно від того, і відстеження того, як\(x_1 \mbox{*}\) зміни є те, як виводиться крива попиту. І так, це правда, що за кожною ціною, затребувана кількість є рішенням проблеми оптимізації для цієї ціни. Але давайте спробуємо розумовий експеримент, який не входить до вступної економіки.
Якщо врахувати, що означає бути в точці від кривої попиту, наприклад, точці Z на малюнку 4.12, це допомагає нам зрозуміти, що крива попиту дійсно схожа на лінію хребта на вершині гірського хребта.
Малюнок 4.12: Інтерпретація точки від (оберненої) кривої попиту.З точкою Z праворуч від зворотної кривої попиту ми знаємо, що споживач купує занадто багато\(x_1\), як показано вертикальною пунктирною лінією на графіку зліва на малюнку 4.12. Ми не можемо точно побудувати точку Z на графіку кривої байдужості, тому що ми не знаємо, скільки хорошого 2 людина купує в точці Z. проте ми знаємо, що вона не оптимізує. Іншими словами, у точці Z цей споживач не в змозі максимізувати задоволення і не знаходиться на дотику бюджетної лінії та найвищої досяжної кривої байдужості.
Враховуючи значення точки від кривої попиту, виявляється, що крива попиту є геометричним об'єктом з особливою характеристикоюкожна точка на кривій попиту є точкою максимальної корисності з урахуванням ціни та доходу. Якби ми додали вісь для корисності, крива попиту показувала б себе як 3D-об'єкт, який відображав максимальну корисність за кожною заданою ціною. Іншими словами, крива попиту - це хребтова лінія, яка з'єднує гірські вершини, як показано на ескізі праворуч на малюнку 4.12.
Крива попиту - це порівняльна статична вправа
Виведення кривої попиту є найважливішим порівняльним статичним вправою в теорії поведінки споживачів. Попит і пропозиція (найважливіша порівняльна статика в теорії фірми) лежать в основі ринкового механізму.
Враховуючи певну функціональну форму корисності, криві попиту можуть бути отримані за допомогою числових методів, підбираючи окремі точки на кривій попиту для явних значень ціни, в інших рівних випадках. Нахили і пружність можна обчислити.
Криві попиту також можуть бути отримані за допомогою аналітичних методів шляхом знаходження виразу зменшеної форми як функції ціни (та будь-яких інших екзогенних змінних). Нахили і пружність можна обчислити за допомогою похідної.
Для утиліти Cobb-Douglas ми виявили, що\(x_1 \mbox{*} = (\frac{c}{c+d})\frac{m}{p_1}\). Для цієї зменшеної форми числові та аналітичні методи дають різні значення нахилів та пружності, засновані на зміні,\(p_1\) оскільки крива попиту є кривою, а не лінією (як крива Енгеля). Чим менше дискретне зміна\(p_1\) використовуваного в числовому методі, тим ближче він наближається до аналітичного результату.
Ми також можемо «вивести» криву попиту за допомогою графіків, як показано на малюнку 4.11. Ми можемо відобразити ефект зміни ціни, обертаючи бюджетну лінію та показуючи початкову та нову точки дотику. Якщо ми відобразимо\(p_1\) і відповідну оптимальну кількість\(x_1\) на окремому графіку, ми графічно вивели криву попиту (або зворотну криву попиту, якщо ми перевертаємо осі).
Нарешті, якщо ми розберемо наслідки точки від кривої попиту, ми можемо побачити криву попиту в новому світлі, це насправді 3D-об'єкт, представлений у 2D-просторі. Всі точки на кривій попиту фактично є точками максимальної корисності з урахуванням бюджетних обмежень.
Вправи
-
У аркуші OptimalChoice натисніть
кнопку і відтворіть малюнок 4.10 зі зменшенням (замість збільшення)\(p_1\) від $2/одиницю до $1/одиницю. Використовуйте функцію таблиці Word, щоб створити таблицю та заповнити комірки. -
Використовуйте інструменти малювання Word, щоб створити графік кривої споживання цін та кривої попиту для\(x_1\) (як на малюнку 4.11), який точно відображає шок та результати з питання 1.
-
Яка різниця між кривою попиту та зворотною кривою попиту?
Посилання
Епіграф зі сторінки 103 Джорджа Дж. Стіглера, «Рання історія емпіричних досліджень поведінки споживачів» Журнал політичної економії, том 62, № 2 (квітень 1954), стор. 95—113 (www.jstor.org/stable/1825569)
Більшості економістів все одно, хто першим придумав концепцію графіка попиту. Більшість тих, хто піклується, вважають, що це був Григорій Король, через століття після Чарльза Давенанта. Стіглер був лауреатом Нобелівської премії з економіки і професором Чиказького університету. Він мав довічне захоплення інтелектуальною історією економіки. У цій статті він показав, що Давенант фактично передував Кінгу.
Знадобилося багато часу, щоб перевести графіки попиту (та пропозиції) у вигляді таблиць (зі стовпцями для ціни та кількості) у графіки. Флемінг (вимовляється флем-мінг) Дженкін в 1870 році часто віддають належне малюванню першої кривої попиту, але були попередники. Принципи економіки Альфреда Маршалла (1890) популяризували графіки попиту та пропозиції. Його графіки з'являлися, правда, лише у виносках.
Принципи Маршалла були найпопулярнішою книгою економіки своєї епохи. Він доступний у вільному доступі в Інтернеті за адресою www.econlib.org/Бібліотека/Маршалл/Marp.html.
Сучасні економісти іноді знущаються над Маршаллом за перемикання осей, стверджуючи, що він допустив помилку, але це твердження невірно. Маршалл поставив ціну на вертикальну вісь, оскільки хотів показати криві ринкового попиту та пропозиції на графіку як горизонтальну суму індивідуальних кривих попиту та пропозиції, як у виносці 70 з книги III, глава IV. Майбутні покоління вступних студентів-економіків замкнулися в маршаллівських зворотних кривих попиту та пропозиції.
Хоча ви можете зробити висновок, що порушення Маршаллом прийнятої математичної конвенції (тобто незалежні змінні належать до осі x) є заплутаним, рішення не було пов'язано з відсутністю математичних знань. Насправді Маршалл був блискучим математиком, заробивши Другого Вранглера (майбутньому лорду Релі) як студент Кембриджу в конкурсі Tripos.
Щоб зрозуміти, як змінилася роль математики в економіці, розглянемо рецепт, який Маршалл дав другу за використання математики в економіці: «1) Використовуйте математику як скорочену мову, а не як двигун розслідування. 2) Тримайте їх, поки не зробите. 3) Перекладіть на англійську мову. 4) Потім проілюструйте приклади, які важливі в реальному житті. 5) Спалити математику. 6) Якщо ви не можете досягти успіху в 4 спалити 3. Це останнє я робив часто». (Пігу, Меморіали Альфреда Маршалла, 1925, стор. 427.)
