4.2: Більше практики з кривими Енгеля
- Last updated
- Save as PDF
- Page ID
- 82005
Цей розділ виводить криві Енгеля за допомогою числових та аналітичних методів для різних корисних функцій. Він застосовує ту ж логіку, що і в попередньому розділі. Це майстерність шляхом повторення. Визнання того, як використовуються однакові кроки, має важливе значення для мислення як економіст.
Квазілінійні налаштування
У цьому прикладі використовується квазілінійна корисна функція,\(U = x_1^{\frac{1}{2}} + x_2\). Бюджетне обмеження є\(140 = 2x_1 + 10x_2\).
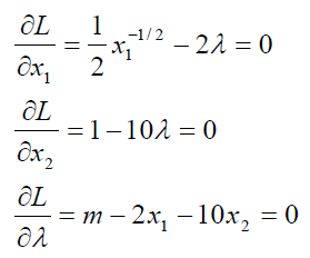
Почнемо з аналітичного підходу. Переписуємо обмеження і формуємо лагрангейський, залишивши m як букву (так як ми хочемо вивести криву Енгеля).

Беремо похідні і ставимо їх рівними нулю.

Для вирішення оптимальних значень\(x_1\) і\(x_2\), ми дотримуємося нашого звичайного підходу, переміщаючи\(\lambda\) терміни на праву сторону і діливши два рівняння, щоб скасувати\(\lambda\) s.

Зверніть увагу, що MRS є функцією\(x_1\) поодинці. Це властивість квазілінійної корисної функції. Ми можемо вирішити для\(x_1 \mbox{*}\) з MRS рівняння співвідношення ціни.

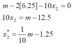
Далі ми вставляємо це значення в третю умову першого порядку і вирішуємо для\(x_2 \mbox{*}\).

Для обчислення відповіді власних одиниць при\(x_1 \mbox{*}\) заданому зміні m ми можемо просто взяти похідну по відношенню до m, яка дорівнює нулю (тому що m не з'являється в\(x_1 \mbox{*}\) зменшеному вигляді). Таким чином, збільшення доходів залишають\(x_1 \mbox{*}\) без змін. Іншими словами, крива Енгеля для хорошого 1 горизонтальна на 6,25.
Відповідь власних одиниць для\(x_2 \mbox{*}\) є\(\frac{dx_2 \mbox{*}}{dm}\frac{m}{x_2 \mbox{*}} = \frac{1}{10}\). Це означає, що додатковий долар доходу призводить до\(\frac{1}{10}\) збільшення добрих 2.
Ми можемо використовувати формулу еластичності доходів\(\frac{dx_1 \mbox{*}}{dm}\frac{m}{x_1 \mbox{*}}\), щоб обчислити еластичність доходу. При m = 140 еластичність доходу\(x_1 \mbox{*}\) = (0) (140/6,25) = 0, яка абсолютно нееластична. Це означає, що зміни в m взагалі не впливають\(x_1 \mbox{*}\).
Ці результати здаються трохи дивними. Можливо, числовий підхід і Excel можуть пролити світло на те, що тут відбувається.
КРОК Відкрийте книгу Excel EngelCurvesPractice.xls, прочитайте Інтро аркуш, а потім перейдіть до QuasilinearChoice аркуша. Він показує оптимальне рішення, 6,25, 12,75, для м = 140. Змініть дохід на 160.
Як і очікувалося, бюджетна лінія зміщується.
КРОК Запустіть Solver, щоб знайти нове початкове рішення. Отримана діаграма виглядає як малюнок 4.7.
Малюнок 4.7: Шок доходу з квазілінійними уподобаннями.Малюнок 4.7 і ваш екран показує, що вартість\(x_1 \mbox{*}\) залишилася незмінною, оскільки дохід збільшився з $140 до $160. Цей споживач максимізує корисність, використовуючи всі додаткові 20 доларів доходу на добре 2.
На малюнку 4.7 також відображено ключове властивість квазілінійної функціональної форми: криві байдужості зміщені вертикально і фактично паралельні один одному. Таким чином, коли ми збільшуємо дохід, нова точка дотику виявляється безпосередньо, вертикально вгору від вихідного рішення.
КРОК Повертаємо дохід до початкової вартості $140. Запустіть майстер порівняльної статики, застосовуючи 5 шоків до доходу з кроком у доларах 10 доларів.
Ваші результати повинні виглядати як аркуш CS1.
КРОК Створіть криві споживання Енгеля та доходу. Для кривих Енгеля це вимагає складання діаграми\(x_1 \mbox{*}\) як функції m та іншої діаграми\(x_2 \mbox{*}\) як функції m. Для кривої споживання доходів діаграма є\(x_2 \mbox{*}\) функцією\(x_1 \mbox{*}\). Кожна точка на цьому графіку є точкою дотику між бюджетною лінією і максимально досяжною кривою байдужості.
Ваша перша спроба скласти діаграму\(x_1 \mbox{*}\) як функцію m не дасть горизонтальної лінії в 6.25. Однак уважно придивіться до шкали осі y. Проблема полягає в тому, що Solver повідомляє цифри дуже близькі до, але не зовсім, 6.25 як зміни доходу.
Але ці незначні відмінності в\(x_1\) оптимальних не мають сенсу. Вони є шумом Solver. Насправді, для всіх цих значень m оптимальним\(x_1\) дійсно є рівно 25. Нам потрібно очистити результати Solver.
Просто змінити дисплей на меншу кількість десяткових знаків не вийде. Це змінить відображення осі y, але Excel все одно матиме таку ж кількість у своїй пам'яті. Замість цього ми повинні використовувати функцію круглий Excel для зміни чисел, вироблених Solver.
Функція ROUND має два аргументи, комірку, яку потрібно округлити, та кількість десяткових знаків. Отже, РАУНД (123.456,1) оцінює до 123,5.
КРОК Введіть цю формулу в порожню комірку, «=ROUND (123.456, -2)», щоб побачити, що робить негативний аргумент.
Ми можемо використовувати функцію ROUND для округлення результатів Розв'язувача до сотих місць. Cell F12 показує, як реалізується ця стратегія.
КРОК Застосуйте функцію Excel Round до результатів порівняльної статики, а потім складіть діаграму кривої Енгеля для хорошого 1, використовуючи округлені дані. Ваша остаточна діаграма повинна виглядати як на аркуші CS1.
Нарешті, ми можемо використовувати результати CSWiz для вивчення чуйності ендогенних змінних на зміни доходу, які ми застосували.
КРОК Обчислити реакцію на зміни доходу у власних одиницях і пружності доходу для\(x_1 \mbox{*}\) і\(x_1 \mbox{*}\). Перевірте свою роботу з результатами в аркуші CS1.
Зверніть увагу, що результати чуйності від числового методу такі ж, як і за допомогою аналітичного підходу.
Ідеальні доповнення
КРОК Перейдіть до листа PerfCompChoice, щоб потренуватися на іншій утиліті функції. Ця функція відображає переваги, в яких два товари є ідеальними доповненнями. Це дає Г-образні криві байдужості, але наш аналіз триває як завжди.
Проблема полягає в тому, щоб максимально досконалити доповнює корисну функцію з урахуванням бюджетних обмежень. Лист PerfCompChoice показує, що\(p_1 = 2, p_2 = 10, a = b = 1.\)
Ми робимо задачу спочатку аналітичним методом, залишаючи m як букву, щоб ми могли знайти,\(x_1 \mbox{*} = f(m)\) і\(x_2 \mbox{*} = f(m)\) це криві Енгеля для товарів 1 і 2.
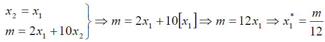
У розділі 3.2 ми показали, як вирішити цю задачу, знайшовши перетин двох ліній, на яких має лежати рішення. Так як\(a = b = 1\), оптимальним рішенням має бути де\(x_1 = x_2\) (промінь від початку з ухилом\(+ 1\)). Звичайно, рішення також повинно лежати на бюджетній лінії, тому ми можемо вирішити цю систему двох рівнянь і двох невідомих шляхом\(x_1\) підстановки\(x_2\) в рівнянні бюджетного обмеження.

Так як\(x_2\) повинен\(x_1\) рівнятися при оптимальному рішенні, ми знаємо\(x_2 \mbox{*} = \frac{m}{12}\).
Щоб обчислити власну реакцію одиниць при\(x_1 \mbox{*}\) заданому зміні доходу, ми можемо просто взяти похідну по відношенню до m, яка є просто\(\frac{1}{12}\). Цей нахил постійний, а крива Енгеля лінійна.
Еластичність доходу при заданому значенні m можна обчислити за формулою точкової еластичності,\(\frac{dx_1 \mbox{*}}{dm}\frac{m}{x_1 \mbox{*}}\). При\(m = 50\), еластичність доходів\(x_1 \mbox{*} = \frac{1}{12}\frac{50}{4.167} = 1\). Це означає, що зміна m на 1% призведе до зміни на 1%\(x_1 \mbox{*}\).
КРОК Запустіть майстер порівняльної статики на аркуші PerfCompChoice (ви можете внести зміни в дохід $10) і створити Engel і криві споживання доходу.
КРОК Обчислити реакцію на зміни доходу у власних одиницях і пружності доходу для\(x_1 \mbox{*}\) і\(x_2 \mbox{*}\).
Перевірте свою роботу з результатами в аркуші CS2. Зверніть увагу, що результати в Excel збігаються з аналітичним підходом.
Функція утиліти визначає форму кривої Енгеля
У цьому розділі проведено порівняльний статичний аналіз зміни доходів на квазілінійних та досконалих функціях корисності доповнення. Це дозволило практикувати виведення кривих Енгеля та кривих споживання доходів, а також обчислювальної чуйності у власних одиницях та еластичності.
Квазілінійна функція має своєрідний результат, що еластичність доходу\(x_1 \mbox{*}\) дорівнює нулю. Це відбувається тому, що карта байдужості квазілінійної корисної функції являє собою ряд вертикально паралельних кривих. Таким чином, при зміщенні бюджетної лінії нове оптимальне рішення виявляється безпосередньо над початковим рішенням і\(x_1 \mbox{*}\) залишається незмінним.
Завдяки функції досконалих доповнює корисність, ми змогли знайти аналітичне рішення, хоча ми не могли використовувати метод Лагранжева. Крива Енгеля для\(x_1 \mbox{*}\) має постійний нахил і одиничну еластичність доходу. Це ті самі властивості кривої Енгеля, яку ми знайшли в попередньому розділі, використовуючи функціональну форму Кобба-Дугласа.
На форму кривої Енгеля, її нахил та еластичність доходу впливає функція корисності споживача. Відносини складні, тому немає правила або простого твердження про те, як функціональна форма корисності визначає криву Енгеля.
Ернст Енгель хотів знати, як змінилися витрати на їжу в міру зростання доходів. Він вважав, що закупівлі продуктів харчування збільшуватимуться зі зменшенням у міру збільшення доходів, як показано на малюнку 4.8. Це має здоровий глузд. У міру того, як ви стаєте багатшими і багатшими, ви можете придбати набагато приємніший будинок і машини, але важко витратити набагато більше на їжу. Це відоме як Закон Енгеля.
Малюнок 4.8: Закон Енгеля.Жодна з трьох корисних функцій, з якими ми стикалися досі (Кобба-Дугласа, квазілінійні та ідеальні доповнення), не здатна генерувати криву Енгеля, яка відповідає закону Енгеля для закупівель продуктів харчування. Якби нас зацікавила їжа, нам довелося б знайти та використовувати функцію корисності з кривою Енгеля, яка відповідала закону Енгеля. Такі функції існують, але, як ви можете собі уявити, вони складніші, ніж обчислювально-прості функції, які ми використовували до цього часу.
Вправи
-
На аркуші QuasilinearChoice скопіюйте комірку B11 та вставте її в комірку C11. Встановіть дохід в $200 і запустіть Solver, щоб знайти нове оптимальне рішення. У комірці D11 введіть формулу, щоб знайти різницю між осередком C11 і B11. Чи є ця крихітна різниця значущою? Поясніть.
-
Змінивши дохід і запустивши Solver в питанні 1, якби ви підключили початкові і нові рішення на графіку, ви отримаєте вертикальну лінію. Чому так відбувається? Чи станеться це з кожним споживачем?
-
Змінивши дохід і запустивши Solver в питанні 1, хороший 1 нормальний або неповноцінний хороший? Поясніть.
- Використовуйте редактор рівнянь Word, щоб вирішити загальну версію ідеальної проблеми доповнення. Іншими словами, знайти\(x_1*\) і\(x_2*\) для

Посилання
Епіграф взято зі сторінок 487 та 488 Кеннета Боулдінга, «На захист статики», «Квартальний економічний журнал», том 69, № 4 (листопад 1955), стор. 485—502 (www.jstor.org/stable/1881991). Як видно з цитати, Боулдинг мав заслужену репутацію дотепних, кусючих коментарів. Його захист порівняльної статики в статті щойно цитується, незважаючи на це, він колись сказав: «Математика принесла строгість до економіки. На жаль, це теж принесло мортіс».
