1.16: Протимікробні препарати I і II
- Page ID
- 72509
Фармакологічні принципи антимікробної терапії
- Успішна антимікробна терапія настає при доставці ефективної концентрації препарату на місце зараження протягом достатнього періоду часу. Мінімальні ефективні концентрації - це ті, які необхідні для пригнічення росту (бактеріостатична концентрація, МІК) або знищення (бактериоцидна концентрація, MBC) збудника, про який йде мова.
Бактериоцидна терапія необхідна при наступних станах:
а. бактеріальна інфекція у нейтропенічного господаря
b. ендокардит (та інші внутрішньосудинні інфекції)
c. менінгіт і абсцес головного мозку d. стафілококовий (і, ймовірно, інші форми) остеоміліт
е. протезний пристрій інфекції - Поглинання наркотиків
- Детермінанти абсорбції ліків мало вивчені і можуть бути визначені тільки клінічними дослідженнями.
- Необхідно визначити вплив їжі, рН шлунка та антацидів на всмоктування ліків.
- Поглинання їжі зазвичай знижується, може збільшуватися
- Кетоконазол вимагає кислотного рН
- Хелювання тетрациклінів і фторхінолонів катіонами в антациди може блокувати поглинання.
- Ліквідація наркотиків
Три основні шляхи ліквідації:
- Нирки - ниркова елімінація може відбуватися або шляхом клубочкової фільтрації, або канальцевої секреції; загалом канальцева секреція (спостерігається з пеніцилінами та багатьма цефалоспоринами) є більш ефективною, ніж клубочкова фільтрація, і призводить до більш короткого періоду напіввиведення сироватки крові. Пробеніцид блокує активну секрецію.
- Гепатобіліарний — якщо відбувається значна гепатобіліарна елімінація, то при нирковій недостатності потрібна невелика корекція дозування.
- Метаболізм - як правило, відбувається в печінці, і може призвести до лікарської взаємодії, через вплив на ферментні системи печінки.
- Розподіл антимікробних засобів у тканині
Існує три основні детермінанти розподілу ліків між плазмою (центральне відділення) і позасудинним простором (периферичний відділ)
- Природа капілярного русла - У більшості тканин і органів капілярне русло фенеструється дрібними порами, які дозволяють готову дифузію речовин з молекулярною масою до 1000 дальтон (більшість антимікробних засобів). Кілька локацій в організмі, які називаються спеціалізованими ділянками, мають непроявлені капіляри. Оскільки препарати повинні проходити через ендотеліальні клітини капілярів, щоб досягти позасудинного простору в цих спеціалізованих ділянках, швидкість дифузії обмежена ступенем розчинності ліпідів препарату.
- Найбільш клінічно важливими спеціалізованими ділянками, є центральна нервова система, сітківка і передміхурова залоза.
- Такі препарати, як β-лактами, аміноглікозиди, більшістьтетрациклінів і ванкоміцин слабо розчинні в ліпіді і погано проникають в спеціалізовану ділянку.
- Ступінь зв'язування сироватки - тільки вільний препарат доступний для дифузії і є активним. Основним зв'язуючим білком для більшості препаратів є альбумін.
- Активні транспортні насоси - Найбільш вивчені з цих насосів діють на органічні аніони і розташовані в судинному сплетінні мозку, сітківці і проксимальному канальці нирки. Вони відкачують β-лактамні препарати і повністю інгібуються пробеніцидом.
- Природа капілярного русла - У більшості тканин і органів капілярне русло фенеструється дрібними порами, які дозволяють готову дифузію речовин з молекулярною масою до 1000 дальтон (більшість антимікробних засобів). Кілька локацій в організмі, які називаються спеціалізованими ділянками, мають непроявлені капіляри. Оскільки препарати повинні проходити через ендотеліальні клітини капілярів, щоб досягти позасудинного простору в цих спеціалізованих ділянках, швидкість дифузії обмежена ступенем розчинності ліпідів препарату.
- Місце зараження —
Місце зараження визначає не тільки вибір засобу, але і його дозу і шлях його введення.
- Загалом, ми хочемо перевищити MIC.
- Вплив субінгібіторних концентрацій
- Змінити морфологію бактерій та властивості адгезії
- Зменшення опсонічних вимог
- Посилити фагоцитоз
- Допомога у внутрішньоклітинному вбивстві
Пеніциліни
- Структура

Три компоненти: кільце тіазолідину, β-лактамне кільце та бічний ланцюг. Бічний ланцюг багато в чому визначає антибактеріальний спектр і фармакологічні властивості конкретного пеніциліну.
- Механізм дії — напрочуд не до кінця зрозумілий.
- Пеніцилін пригнічує ріст бактерій, втручаючись в синтез клітинної стінки бактерій після зв'язування з білками, що зв'язують пеніцилін (багато з них ферменти беруть участь в біосинтезі клітинної стінки).
- Хоча пеніциліни є бактериоцидними препаратами, механізми, за допомогою яких вони вбивають бактерії, різняться для різних видів. Для пневмокока та кишкової палички вбивство відбувається шляхом лізису, що виникає внаслідок дерегуляції аутолітичної ферментної системи (тобто гідролази пептидогліканів). Пеніцилін також може безпосередньо посилювати аутолітичну активність. У разі стрептокока пеніцилін індукує гідроліз клітинної РНК.
- Постантибактеріальні ефекти спостерігаються при грампозитивних, але не грамнегативних бактеріях.
- Спектр діяльності
див. додаток для подробиць, як правило, активний проти коків, багатьох бацил і анаеробів. активність проти ентеробактерій і псевдомонад спостерігається з амінопеніцилінів.
- Опір (див. XII A для більш детальної інформації)
- Найважливішим механізмом стійкості бактерій до пеніциліну є ферментативний гідроліз β-лактамного зв'язку β-лактамазами.
- S. aureus — плазміда, закодована і індукована. Ця плазміда все частіше зустрічається в ентерококу.
- У грамнегативах β-лактамази можуть бути хромосомно або плазмідними опосередкованими, складовими або індукованими та активними відносно лише певних β-лактамів або широкого спектру дії.
Здатність пеніциліну пригнічувати ріст грамнегативних бацил залежить від швидкості припливу через зовнішню мембрану більшою, ніж швидкість гідролізу β-лактамазами. Зміна в бічному ланцюзі пеніциліну регулює грамнегативну активність, як правило, шляхом посилення проникнення через зовнішню мембрану, а не зменшення швидкості гідролізу.
- Зміна місця зв'язування пеніциліну.
- Пневмококи, стійкі до пеніциліну
- Стафілококи стійкі до метициліну
- Толерантність - MBC > 16 x MIC. Організми, що проявляють толерантність, як видається, мають вирівняну або змінену аутолітичну дію з впливом пеніциліну.
- Ентерококи стійкі до природи
- Деякі S. aureus і стрептококи.
- Змінена проникність зовнішньої мембрани грамнегативних бацил забезпечує ще один механізм стійкості до пеніцилінів. Мутанти зі зменшеними або зміненими порційними каналами показують у 2-16 разів вищі мікросхеми до пеніцилінів широкого спектру дії. Цей механізм часто виникає спільно зі зміненими PBP або індукованими β-лактамазами.
- Найважливішим механізмом стійкості бактерій до пеніциліну є ферментативний гідроліз β-лактамного зв'язку β-лактамазами.
- Побічні реакції
- Гіперчутливість
- ЦНС — судоми (в першу чергу пеніциліну G і у пацієнтів з нирковою недостатністю).
- Шлунково-кишковий — C. difficile та неспецифічне розлад шлунково-кишкового тракту - діарея, нудота та блювота.
Цефалоспорини
- Структура

- Механізм дії—по суті такий же, як пеніцилін.
- Спектр активності—Цефалоспорини є агентами широкого спектру дії. Як правило, грам позитивної активності зменшується в той час як грамнегативна активність збільшується, як один прогресує від першого до третього покоління агентів. Жоден з цефалоспоринів не активний відносно ентерококів, Listeria monocytogenes або метицилін-резистентних S. aureus.
докладніше див. Додаток.
- Механізм опору (див. XII А)
- виробництво β-лактамази
- Зміни цільових білків, що зв'язують пеніцилін.
- Нездатність препарату досягти місця зв'язування: Для того, щоб досягти цільового PBP, цефалоспорин повинен проникнути в клітинну оболонку організму. Це робиться відносно легко у випадку грампозитивних організмів, оскільки пептидогліканова структура, яка містить клітинну стінку, зазвичай дозволяє проходити частинки розміром з цефалоспорин. Грамнегативні організми мають більш грізним бар'єром, складною структурою, що складається з полісахаридів, ліпідів, білків. Матеріали проникають в цю зовнішню клітинну оболонку через наповнені водою канали, або порції, що виробляються різними білками зовнішньої мембрани. Проходження цефалоспорином залежить від розміру каналу, заряду та гідрофільних властивостей.
- Побічні реакції
- Гіперчутливість
- Шлунково-кишковий, включаючи гепатит.
- Інші бета-лактамні стратегії
- Інгібування β-лактамази
- Сульбактам (ампіцилін-сульбактам, Унасин).
- Клавуланова кислота (амоксицилін-клавуланат, Аугментин; тикарцилін- клавуланат, тиментин).
- Тазобактам (піперцилін-тазобактам, Зосин).
- Ацтреонам — моноциклічний β−лактам, відносно стійкий до β−лактамаз. Спектр схожий на гентаміцин.

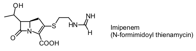
- Іміпенем — найширший спектр β−лактам. Карбапенем.

- Унікальна фармакологічна проблема: Після того, як іміпенем видаляється з кровообігу шляхом клубочкової фільтрації і секретується, він метаболізується нирковою пептидазою, яка знаходиться на кордоні кисті проксимальних ниркових канальців. Метаболіти нефротоксичні.
- Для подолання цієї проблеми був синтезований специфічний інгібітор пептидази - циластин, який повністю блокує метаболізм іміпенему в нирці, тим самим блокуючи токсичність. Циластин не має антимікробної активності.
- З'єднаним препаратом є комбінація іміпенем-циластин (Примаксин).
- Особливою токсичністю є судоми, насамперед при нирковій недостатності або в умовах триваючої або попередньої травми головного мозку.
- Інгібування β-лактамази
аміноглікозиди
- Структура—Усі аміноглікозиди складаються з центрального шестичлендаміноциклітового кільця, пов'язаного з двома або більше залишками аміноцукру глікозидними зв'язками. Амінокліцітол стрептоміцину є стрептидин, тоді як серед усіх інших доступних аміноклікозидів є 2-дезоксистрептамін.

- Механізм дії—не до кінця зрозумілий
- Аміноглікозиди зв'язуються з рибосомами, причому різні аміноглікозиди зв'язуються з різними ділянками (стрептоміцин до субодиниці 30S, інші на інших ділянках; зв'язування стрептоміцину не конкурує з зв'язуванням інших аміноглікозидів).
- Наслідки взаємодії аміноглікозидів численні. Два найбільш задокументовані наслідки - це пригнічення синтезу білка та невірність правильного читання генетичного коду.
- Вони, однак, не пояснюють бактерицидну дію аміноглікозидів. Транспорт аміноглікозидів через клітинну мембрану, з накопиченням в цитозолі є центральним для цього ефекту. Транспортний процес є енергозалежним і залежним від рН (таким чином, аміноглікозиди погано працюють в ситуаціях низького рН та анаеробіозу; тобто абсцес).
- Спектр діяльності
- Аеробні та факультативні грамнегативні бацили. Особливо корисний проти кишкових організмів.
- Партнер у синергетичному вбивстві β-лактамом
- Абсолютно необхідний при ентерококах.
- In vitro, (in vivo?) для золотистого стафілокока, стрептококової пневмонії, інших стрептококів.
- Pseudomonas (одна з жменьки корисних препаратів).
- механізми опору
- Аміноглікозид-модифікуючі ферменти - різноманітний масив; здійснюється на плазміді та транспозонах; Наприклад: ацетилювання аміногрупи, аденілювання гідроксильної групи, фосфорилювання гідроксильної групи. Отримане з'єднання погано зв'язується з рибосомами. Це основна форма опору.
- Мітохондріальні зміни рибосом - сайтів зв'язування, модифікованих внаслідок хромосомної взаємодії; поки що рідко.
- Мутації, що перешкоджають поглинанню аміноглікозидів - призводить до стійкості до всіх аміноглікозидів.
- Побічні реакції
- Ниркова токсичність.
- VIII токсичність черепного нерва.
Тетрациклін
- Структура

- Механізм дії
Тетрацикліни є бактеріостатичними препаратами і діють на бактеріальну рибосому. Проникнення бактеріальної стінки тетрацикліном ймовірно відбувається в результаті як пасивної дифузії, так і активної транспортної системи. Після того, як препарат знаходиться всередині бактеріальної клітини, відбувається інгібування синтезу білка шляхом зв'язування з рибосомною субодиницею 30S, щоб блокувати зв'язування аміноацил-тРНК з акцепторним місцем комплексу рибосом мРНК. Це перешкоджає додаванню нових амінокислот в зростаючу пептидний ланцюг.
- Спектр діяльності
- Перший з антибактеріальних засобів широкого спектру дії; тепер витісняються іншими агентами для звичайних бактерій.
- Основне застосування в даний час в лікуванні
- хламідіоз
- види мікоплазми
- Рікетсія
- Спірохети (включаючи засіб хвороби Лайма)
- Також корисний в складі комбінованої терапії для
- Чума (при стрептоміцині).
- Меліоїдоз (з хлорамфеніколом).
- Бруцельоз (зі стрептоміцином).
- Туляремія (зі стрептоміцином).
- механізми опору
- В першу чергу пов'язані з плазмідним кодованим зменшенням транспортної системи припливу та/або збільшенням здатності клітини експортувати антибіотик.
- Також може бути на транспозон (tetm).
- несприятливі наслідки
- Шкіра — світлочутливість.
- Зуби і кістки.
- Шлунково-кишково-жирова печінка; діарея, нудота і блювота.
еритроміцин
- Структура-еритроміцин є одним з 14-членних макролідів, що складаються з макроциклічного лактонового кільця, прикріпленого до двох цукрових фрагментів.

- Механізм дії
- Інгібітор синтезу білка в сприйнятливих організмах, еритроміцин зв'язується оборотно з єдиним сайтом високої спорідненості на 50S субодиниці бактеріальної рибосоми 70S. Він не зв'язується з рибосомами ссавців 80S, пояснюючи тим самим його відсутність токсичності.
- Взагалі бактеріостатичний; в особливих умовах бактерицидний.
- Спектр діяльності
- Препарат першої лінії проти легіонели, хламідій, мікоплазматичної пневмонії.
- Друга лінія препарату проти інших.
- Механізм опору (див. XII B)
- Непроникність клітинної стінки бактерій — у деяких грамнегативах.
- Плазмідне опосередковане метилювання РНК аденозину рибосоми.
- Плазміда опосередкована інактивація еритроміцину естеразою.
- Побічні реакції
- Шлунково-кишково-печінковий плюс кишечник.
- Тимчасова нейросенсорна туговухість при великих дозах.
- Нові макроліди - Кларитроміцин, азитроміцин
- Широкий спектр активності: Х. грип, туберкульоз.
- Краща толерантність до ШКТ
- Незвичайна фармакокінетика азитроміцину.
Ванкоміцин
- Структура — бактерицидний глікопептидний антибіотик

- Механізм дії
- Пригнічує синтез клітинної стінки шляхом зв'язування з проміжним дипептидом D-Ala D-Ala в біосинтезі клітинної стінки.
- Травмує протопласти, змінюючи проникність їх цитоплазматичної мембрани.
- Порушує синтез РНК.
- Спектр діяльності
- Грам позитивний.
- Особливо корисний проти метицилін-стійких з'єднань.
- NB: проникнення ЦНС ненадійно.
- Механізми опору (див. XII, A, 1c і 2b)
- несприятливі наслідки
- 8-ий нерв.
- «Синдром рудої людини».
- Нефротоксичність.
фторхінолони
- Структура

- Механізм дії
Бактерицидний ефект обумовлений інгібуванням ДНК топоізомераз (гіраз), які необхідні для суперкотушки ниток бактеріальної ДНК в бактеріальну клітину.
- Спектр діяльності
- Широкий грам негативної дії. Більшість не охоплюють анаероб. докладніше див. Додаток.
- Особливо корисний через високу концентрацію в тканині інтерстицію внутрішньоклітинно.
- Чи не проникають в ЦНС.
- Механізм опору
- Мутації в гені, що кодує ДНК-гіразу, так що відбувається зниження зв'язування хінолону з його мішенню.
- Мутації, що змінюють порції зовнішньої мембрани.
- несприятливі наслідки
- Токсичність ЦНС.
- Шлунково-кишковий.
- NB: аномалії хряща у цуценят бігля. Тому протипоказаний дітям та вагітності.
Загальні принципи застосування антимікробних препаратів
- Фактори, які слід враховувати при первинному виборі антибіотиків
- Повинна бути відома особистість заражаючого організму, або, принаймні, повинна бути можливість зробити оцінку ймовірності найбільш ймовірного винуватця (-ів)
- Необхідно оцінити ймовірну схему сприйнятливості до протимікробних мікробних організмів, що вторгаються.
- Індивідуальна лікарня та реанімація
- Особливі питання сьогодні: Метіцилін-резистентний золотистий стафілокок («MRSA»); стійкі до антибіотиків грамнегативні бацили; ванкоміцин, ампіцилін, гентаміцин резистентні ентерококи («VRE»)
- Можливі проблеми завтра: пневмококи, стійкі до пеніциліну
- Наявність або відсутність факторів господаря, здатних змінити вибір протимікробних засобів
- Історія попередніх побічних реакцій - повинна бути специфічною щодо характеру реакції. (наприклад, нудота, блювота, діарея не є основним протипоказанням до повторного застосування препарату; анафілаксія в анамнезі або синдром Стівенса-Джонсона є основним протипоказанням)
- Вік пацієнта
- Неонати - хлорамфенікол нормально кон'югований з глюкуронідом печінкою; печінковий рівень глюкуронілтрансферази у новонароджених дуже низький, токсичність дуже поширена,
сульфаніламіди конкурують з білірубіном за місця зв'язування на сироватковому альбуміні, можуть сприяти керніктерусу - Діти - хінолони викликають пошкодження хряща і артропатії у молодих тварин, тому протипоказані для дітей, що препушують. Тетрацикліни - зв'язуються з розвиваються кістковими і зубними структурами, викликаючи пурпурно-коричневе знебарвлення зубів і навіть гіпоплазію емалі.
- Літні люди - ізоніазид - старше 50 років, частота гепатотоксичності становить 2,3%, у віці до 30 років це на 0,3%
підвищена нефротоксичність з аміноглікозидами та іншими подібними препаратами, ймовірно, вторинна до зниження ШКФ, пов'язаного зі старінням
- Неонати - хлорамфенікол нормально кон'югований з глюкуронідом печінкою; печінковий рівень глюкуронілтрансферази у новонароджених дуже низький, токсичність дуже поширена,
- Вагітність - Як правило, опубліковані дані абсолютно неадекватні для винесення рекомендацій. Наступні твердження в даний час представляються розумними:
- Пеніциліни (за винятком тикарциллина), цефалоспорини, еритроміцин навряд чи будуть тератогенними і виявляються безпечними для застосування при вагітності.
- Метронідазол і тикарцилін тератогенні у гризунів і ніколи не повинні використовуватися
- Рифампін і триметоприм слід уникати на теоретичних підставах.
- Тетрацикліни (крім впливу на зуби немовляти) пов'язані з жировим некрозом печінки, панкреатитом і, ймовірно, ураженням нирок у вагітної
- Аміноглікозиди перетинають плаценту,? вплив на VIII-у нервову функцію плода. Наприклад: стрептоміцин
- Ізоніазид -? пов'язані з затримкою психомоторного розвитку, міоклонусом і судомами у немовляти.
- Фармакокінетика змінюється при вагітності - більший обсяг розподілу і більш швидке очищення від крові, тому нижчі рівні в сироватці крові.
- По суті всі протимікробні засоби з'являються в грудному молоці. Тому потрібно враховувати потенційний вплив на немовляти
- Генетичні або метаболічні відхилення - це область, яка буде швидко розширюватися в наступному десятилітті.
- Повільні ацетилятори INH (45-64% американців) - в групі ризику для поліневриту. Тому давайте всім піридоксин.
- Дефіцит G6PD - сульфаніламіди, сульфони, нітрофурантоїн, хлорамфенікол будуть осаджувати гемоліз
- Ниркова і печінкова функція
- Коригування дози при порушенні функції нирок або недостатності дуже мінлива.
- Як правило, кількість дозування маніпуляцій, необхідних при нирковій недостатності, залежить від того, наскільки можуть компенсувати нереркові шляхи кліренсу (в першу чергу гепатобіліарний).
- Еритроміцин, хлорамфенікол, лінкоміцин і кліндаміцин слід з обережністю застосовувати пацієнтам з порушеннями функції печінки.
- Місце зараження - місце зараження визначає не тільки вибір засобу, але і його дозу і шлях, по якому його слід вводити.
- здатність досягати ефективної концентрації на об'єктах, що цікавлять: наприклад, CSF
- місцеві фактори, які можуть змінити ефективність препарату
- Гній
- Аміноглікозиди і поліміксини зв'язуються з (і інактивуються) гноєм.
- Бета-лактамази, що виробляються такими організмами, як Bacteroides fragilis, можуть викликати місцеву інактивацію бета-лактамних антибіотиків в місці змішаної інфекції.
- Гній
- pH — наприклад, аміноглікозиди мають низьку активність при низькому рН.
- наявність чужорідного тіла.
- Раціональне використання антимікробних комбінацій в інфекційному процесі
- Для запобігання появі резистентних організмів
- Висока ймовірність полімікробної інфекції
- Забезпечення широкого антимікробного спектру в якості початкової терапії при тяжкому захворюванні пацієнта та неясної етіології.
- Комбінована терапія дозволяє знизити дози і зменшити токсичність.
- Для досягнення антимікробної синергії
- лише приклади, які клінічно доведено, мають важливе значення: пеніцилін + аміноглікозид для серйозної ентерококової інфекції; антипсевдомональний бета-лактам+тобраміцин для псевдомонасамфотерицину + флуцитозин для Cryptococcus neoformans
- багато прикладів синергії пробірки з сумнівним клінічним значенням.
- Недоліки протимікробних комбінацій:
- антагонізм
- Вартість
- Побічні ефекти.
- Вибір маршруту адміністрування.
На додаток до питань, пов'язаних із внутрішніми фармакокінетичними властивостями препарату, основними причинами використання парентеральної терапії (зазвичай IV) є:
- Серйозне захворювання, яке вимагає негайного досягнення високої концентрації крові та тканин
- Недостатня функція шлунково-кишкового тракту - тобто наявність непрохідності, нудоти і блювоти і т.д.
- Перші дві заповіді антимікробної терапії
- Купити Час. Перше занепокоєння полягає в тому, щоб зберегти пацієнта в живих до тих пір, поки ви не дізнаєтеся етіологію та антимікробну сприйнятливість вторгнення збудника і тим самим точно націлити лікування. До цього моменту вам потрібно зробити це важливе розмежування:
- терапевтична невідкладна допомога — антибіотики «фронтального навантаження»
- діагностична дилема — антибіотики «після навантаження».
- Шукайте аномалії. Друге питання полягає в тому, чи є у пацієнта аномалія, яка збільшує ризик від неадекватно лікуваної бактеріємії.
Наприклад: аномальний серцевий клапан, протезування суглоба, протезування судинного трансплантата. Якщо так, то «фронтальне навантаження» з бактерицидною терапією.
- Купити Час. Перше занепокоєння полягає в тому, щоб зберегти пацієнта в живих до тих пір, поки ви не дізнаєтеся етіологію та антимікробну сприйнятливість вторгнення збудника і тим самим точно націлити лікування. До цього моменту вам потрібно зробити це важливе розмежування:
Протимікробна стійкість у новому тисячолітті
- Особливі проблеми протимікробної резистентності, які виникають
«Ми збираємося вступити в епоху пост-антибіотиків».
«Ми постійно рухаємося до протимікробної стійкості».

- Другий закон термодинаміки стверджує, що світ постійно рухається до Хаосу; застосування Другого закону до практики інфекційних хвороб полягає в тому, щоб констатувати,
- Протимікробна резистентність стафілококів - пеніцилін та інші бета-лактами діють шляхом зв'язування з ферментами, званими пеніцилін-зв'язуючими білками (PBP), які у стафілококів опосередковують реакції транспептидації та карбоксипептидації, важливі для перехресного зв'язку пептидоглікану хребта в бактеріальній клітині стіна. Нормальним субстратом ПБП є ацил D-аланіл-D-аланін; його аналог виступає пеніцилін. Тому пеніцилін порушує синтез пептидоглікану і викликає можливу загибель і лізис бактерії. Сприйнятливі ізоляти S. aureus виробляють чотири PBP: PBP1, PBP2, PBP3 та PBP4. PBP 1, 2, 3 вважаються основними мішенями для бета-лактамів.
- Резистентність до пеніциліну - Спочатку, на початку 1940-х років, стафілококи були повсюдно чутливими до пеніциліну. Стійкість до пеніциліну, вперше визнана в 1942 році; до 1949 р. -75% лікарняних ізолятів були резистентністю до пеніциліну; до 1967 р. > 85% як позалікарняних, так і стаціонарних штамів резистентні.
- Механізм резистентності: вироблення бета-лактамази організмом; зазвичай кодується на плазміді; може бути частиною транспозону, який зараз інтегрований в хромосому; вироблення бета-лактамази зазвичай індукується, при цьому рідкісні штами проявляють складову вироблення ферменту.
- Стратегія боротьби з проблемою: виділення попередника пеніциліну, 6-аміно-пеніциланової кислоти в 1959 році зробило можливим виробництво напівсинтетичних пеніцилінів. Модифікації ацильного бічного ланцюга призвели до стеричного захисту бета-лактамного кільця, що запобігало гідролізу бета-лактамазою. Такі препарати, як метицилін, оксацилін, нафцилін, клоксацилін та ін., Набули широкого поширення, і ефективно справлялися з цією проблемою.
- Резистентність до метициліну - як S. aureus («метицилін резистентний S. aureus, MRSA»), так і штами S. epidermidis, стійкі до напівсинтетичних пеніцилінів, з'явилися, знову спочатку в лікарні (особливо ICU), потім поширюючись в будинки престарілих, і, нарешті, громада. Крім того, багато MRSA також виробляли бета-лактамазу і, здавалося, є резервуаром для детермінантів резистентності для різних інших протимікробних препаратів, включаючи хінолони, стрептоміцин, тетрациклін, сульфаніламіди, хлорамфенікол, еритроміцин, кліндаміцин, фузідову кислоту, гентаміцин та неоміцин.
- Механізм резистентності: Стафілококи, стійкі до метициліну, як S. aureus, так і S. epidermidis, виробляють унікальний PBP під назвою PBP 2' або 2a, білок 78 кДа з низькою спорідненістю зв'язування до бета-лактамних антимікробних агентів. Ген, що кодує цей новий PBP, називається MECa і присутній на хромосомі ізолятів MRSA.
- Стратегія контролю проблеми: ванкоміцин. або тейкопланін
- Резистентність до ванкоміцину: У 1997 році спалах в японській лікарні часткової стійкості до ванкоміцину (а також резистентності до метициліну та виробництва бета-лактамази) епідемічного штаму S. aureus. Механізм поки невідомий, але можливе збільшення виробництва ПБП2.
- Резистентність до пеніциліну - Спочатку, на початку 1940-х років, стафілококи були повсюдно чутливими до пеніциліну. Стійкість до пеніциліну, вперше визнана в 1942 році; до 1949 р. -75% лікарняних ізолятів були резистентністю до пеніциліну; до 1967 р. > 85% як позалікарняних, так і стаціонарних штамів резистентні.
- Антибактеріальна резистентність ентерококів- ентерококів-, як і чутливі до пеніциліну штами стафілококів, пригнічуються низькими концентраціями пеніциліну. Однак зі стафілококами зв'язування з ПБФ також запускає активацію аутолітичних ферментів, присутніх у клітинній стінці бактерій, «механізм самогубства», так що концентрація препарату, необхідного для знищення (бактерицидний ефект), по суті ідентична концентрації, необхідної для пригнічення росту ( бактеріостатичну дію). При ентерококах така передача сигналу не відбувається, а для бактерицидного ефекту активну речовину клітинної стінки (наприклад, пеніцилін, ампіцилін або ванкоміцин) потрібно поєднувати з аміноглікозидом (це має вирішальне значення при лікуванні бактеріального ендокардиту). В останні роки ця властива проблема з ентерококками. посилюється:
- Резистентність до пеніциліну - деякі ентерококи - продукують бета-лактамази, які роблять їх стійкими до пеніциліну та ампіциліну, а деякі з них за своєю суттю стійкі.
- Ванкоміцин резистентні ентерококи (VRE) - епідемія у всьому розвиненому світі.
- Механізм резистентності: У нормальних умовах синтезу пептидоглікану в ентерококах дві молекули D-аланіну з'єднуються ферментом лігази з утворенням D-ALA-D-ALA, який потім додають до UDP-N- ацетилмураміл-трипептиду з утворенням UDP-N-ацетилмураміл-пентапептиду, який при включенні в зароджується пептидоглікан (трансглікозилювання), дозволяє утворювати перехресні містки (транспептидація), які сприяють міцності пептидогліканового шару. Ванкоміцин зв'язується з високою спорідненістю з термінами D-Ala-D-AlA одиниць-попередників пентапептиду, блокуючи їх приєднання до зростаючої ланцюга пептидогліканів і запобігаючи подальше зшивання. Резистентність опосередкована різними генами, які сприяють виробленню D-ала-D- лактату або D-ала-D-серину, який не сприйнятливий до ефекту ванкоміцину.
- Стратегія контролю: Лінезолід або квінпристин-дальфопристин - це останні методи лікування канави для колонізації VRE або інвазивної інфекції. В іншому випадку єдині доступні стратегії - хірургічна абляція та карантин.
- Механізми протимікробної стійкості
- Інактивація протимікробного засобу
- Приклади ферментів, що інактивують антимікробні засоби, включають бета-лактамазу, хлорамфенікол ацетилтрансферазу, аміноглікозид-модифікуючі ферменти, естерази, що інактивують макролідні антибіотики тощо.
- Зміни проникності
- Природні характеристики. Практично всі грамнегативні бацили є іскростійкими до пеніциліну G через його нездатність легко пройти зовнішню клітинну оболонку цих організмів. Так само відсутність проникності також відіграє роль у відносній стійкості ентерококів до аміноглікозидів та грамнегативів до макролідів.
- придбані характеристики
- Хромосомні мутації, що змінюють білки поріну в грамнегативних бацилах, можуть призвести до підвищення стійкості до цефалоспоринів і карбапенемів.
- Мутації, що змінюють мембранну транспортну систему для аміноглікозидів, можуть призвести до стійкості до S. aureus і різноманітним грамнегативам.
- Системи стоків можуть призвести до стійкості до тетрациклінів, макролідів, - хлорамфеніколу та хінолонів.
- Зміни в цільових сайтах
- Зміни пеніцилін-зв'язуючих білків (ПБП), що призводять до резистентності до метициліну у S. aureus, резистентності до пеніциліну у пневмококів та відносної стійкості до пеніциліну у ентерококів.
- Деякі бактерії здатні виробляти альтернативні стійкі мішені. Наприклад, опосередкована плазмою резистентність до триметоприм-сульфаметоксазолу може бути обумовлена плазмоопосередкованим виробництвом другого набору ферментів у шляху синтезу фолієвої кислоти, стійких до впливу цих агентів.
- Інактивація протимікробного засобу
Конкретні приклади стійкості до протимікробних препаратів
- Стійкість до бета-лактамних антибіотиків
Може бути результатом будь-яких раніше описаних механізмів, як окремо, так і в поєднанні:
- Зміни пеніцилін-зв'язуючого білка (PBP) знижують спорідненість до пеніциліну (або виробляють підвищену стійкість до інактивації бета-лактамами).
- Резистентність до бета-лактаму через бар'єри проникності:
- В цілому більшість грампозитивних коків не мають бар'єрів проникності бета-лактамів.
- Зовнішня клітинна оболонка грамнегативних бактерій, однак, є природним бар'єром проникності для бета-лактамних антибіотиків, які повинні проникати в це (як правило, через білки порінів), щоб досягти своїх цільових місць.
- Зміни білків поріну, викликані хромосомною мутацією, можуть призвести до вражаючого зниження проникності та стійкості до різноманітних пеніцилінів, цефалоспоринів і навіть карбапенем.
- Резистентність до бета-лактаму за рахунок вироблення бета-лактамаз, ферментів, здатних гідролізувати бета-лактамне кільце
Хромосомно-опосередковані бета-лактами індукуються і в першу чергу активні проти цефалоспоринів.
- Гени цих ферментів містяться у Enterobacter cloacae, Citrobacter freundii, Serratia marcescens, Pseudomonas aeruginosa та індол-позитивних видів Proteus. Оскільки ці ферменти є індукованими, тестування in vitro може припустити помилкову сприйнятливість до цефалоспоринів за певних умов тестування.
- Більш того, застосування цефалоспоринів (в тому числі цефалоспоринів «третього покоління») призвело до терапевтичного збою при інфекціях, викликаних організмами з цими генами, в першу чергу пов'язаних з відбором «стабільних депресивних» мутантів. Ці мутанти, як правило, стійкі до всіх присутніх бета-лактамів, крім амдиноциліну, пенемів і карбапенемів. Недавній опис плазмоопосередкованих, переносних ферментів групи 1 при пневмонії клебсієли є особливо тривожним розвитком!
- Нарешті, певні металоферменти можуть інактивувати навіть іміпенем та інші карбапенеми. Хоча ці ферменти хромосомно розташовані в більшості випадків, і їх поява до цих пір була рідкісною (обмежується насамперед Xanthomonas maltophilia та рідкісними ізолятами B. fragilis, Aeromonas hydrophilia, Flavorobacter odoratum, Serratia marcescens, Legionella gormaniae, Bacillus cereus, і Pseudomonas aeruginosa), недавній опис опосередкованих плазмою, переносних металоферментів, що надають стійкість до іміпенем у синьогнійної палички в Японії, викликає найбільше занепокоєння.
- Стійкість до макролідних антибіотиків
Багато макролідних антибіотиків мають фармакокінетичні або токсикологічні переваги над ритроміцином, а деякі мають посилені спектри активності, а також. Широке застосування цих антибіотиків, а також перехресна резистентність з еритроміцином є дуже імовірним; отже, важливість розуміння потенціалу розвитку резистентності. Прикладами нових макролідів є азитроміцин і кларитроміцин.
За обставин важкої утилізації стійкість до еритроміцину у грампозитивних організмів, таких як стафілококи та стрептококи групи А, виникла майже з вибухонебезпечною швидкістю, а в умовах стаціонару понад 50% S. aureus стали стійкими до еритроміцину, коли він був використаний виключно для лікування стафілококових інфекцій, придбаних в стаціонарі. В Японії та Фінляндії були описані спалахи еритроміцинорезистентних стрептококів групи А, а в кінці 1970-х років понад 60% стрептококів групи А в Японії були еритроміцинорезистентними.
Механізм стійкості до антибіотиків макролідів:
- Основний механізм стійкості до макролідів у грампозитивних коків обумовлений змінами рибосомної мішені, що призводить до зниження спорідненості до макролідів та лінкозамідів.
- Інші механізми: Опір може відбуватися будь-яким з основних механізмів, раніше описаних у цьому плані.
- Внутрішня стійкість до макролідів у більшості грамнегативних бацил майже напевно обумовлена нездатністю макроліду проникати в ці організми.
- Крім того, було показано, що коагулазонегативні стафілококи з фенотипом «МС» мають АТФ-зв'язуючий транспортний білок, що викликає відтік макролідів.
- Нещодавно були розроблені нові макроліди, здатні зв'язуватися з метильованими рибосомами. Хоча нинішні аналоги мають лише скромну антимікробну активність, ця технологія може стати більш важливою, якщо широке застосування цих засобів перетворює можливість резистентності серед грампозитивних організмів в реальність.
